本网讯(通讯员:廖宜荣 黄巍)在巩固脱贫攻坚成效与乡村振兴有效衔接工作中,洞口经济开发区选派的新一届驻村工作队扎根石柱镇兰河村这片充满生机与期待的土地上,他们以坚守为基石,以担当为脊梁,构筑起了一座为民服务的暖心桥梁。
聚焦留守女孩,送教课堂传递关爱
兰河村,有着一群可爱又需要特别关爱的留守女孩们。工作队在日常帮扶工作里察觉到这一情况后,便立刻着手谋划,希望能为她们的成长助力添彩。于是,他们积极联络协调,联合经开区16名“爱心妈妈”志愿者,开启了一场意义深远的送教进兰河完小课堂行动。
经开区工作队与“爱心妈妈”们不辞辛劳,走进兰河完小的课堂,与48名留守女孩们展开了一场面对面、心连心的深度互动。课堂上,她们不仅带去了书包、文具盒、水彩笔、儿童绘本等装满知识与关怀的学习用品,更精心准备了丰富多样的课程内容。从心灵培育课程,引导女孩们塑造积极乐观的心态,到至关重要的女孩防性侵教育,为她们筑牢自我保护的安全防线。在那一方小小的教室里,工作队和“爱心妈妈”们用温柔的话语、耐心的讲解以及温暖的笑容,为女孩们播撒下希望的种子,让这些孩子深切感受到党和政府无微不至的关怀,宛如春日暖阳,温暖着她们的成长之路。
借力希望工程,助力困境学子求学
工作队的脚步从未停歇,在入户走访过程中,又发现村里个别孩子因家境困难,面临着失学的艰难处境,甚至有懂事的孩子想要放弃上学机会,把它让给妹妹。这一揪心的状况,让工作队的同志们心急如焚,深知教育对于改变这些孩子命运的重大意义,绝不能让任何一个孩子因困境失去接受教育的机会。
恰在此时,洞口团县委组织开展中国青少年发展基金会“2025年希望工程1+1助学行动”,宛如一道曙光出现在眼前。工作队即刻行动起来,会同洞口团县委,迅速深入兰河村的各个角落,开启了严谨细致的入户走访和精准摸排工作。他们详细询问每一户家庭的收支情况、孩子的学习状况,不放过任何一丝可能符合资助条件的线索。经过数日的辛苦奔波与全面排查,最终成功将兰河村5名品学兼优却家庭困窘的小学生纳入“2025年希望工程1+1助学行动”范围。在这5名受助学生中,年龄最小的三年级学生眼中满是对知识的渴望,年龄最大的六年级学生则怀揣着对未来的憧憬,而他们都在这份关怀中,深深体会到了党和政府送来的温暖。
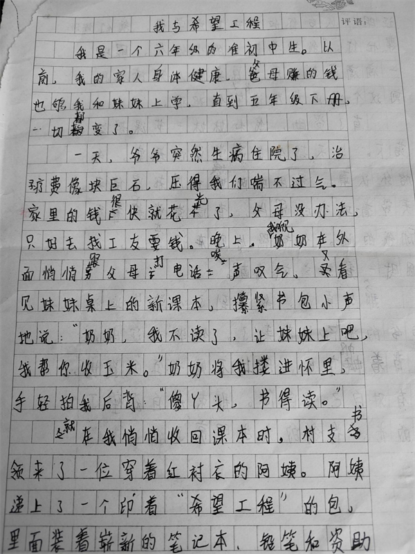
其中,六年级的段子杨同学更是用一封饱含深情的感谢信和一幅充满爱意的手绘画,倾诉了内心的感激之情。在她的画里,爷爷生病,一位代表着“爱心妈妈”的红衣阿姨,恰似守护天使,微笑着为她撑起伞,旁边那一句“以后阿姨们帮你”的旁白,虽质朴却饱含深情厚意。尽管小女孩的笔触尚显青涩稚嫩,但画面传递出的温暖与感恩,却足以打动每一个观者的心,也让人们看到了工作队帮扶工作所产生的深刻影响。
凝聚多方合力,共筑希望未来
在这一系列帮扶行动中,兰河村支两委、驻村工作队以及洞口团县委三方凝聚强大合力。村支两委凭借熟悉村情民意,为工作开展牵线搭桥;驻村工作队深入一线,用真心关怀孩子、扎实推进工作,让帮扶更具温度;洞口团县委发挥资源整合与组织协调优势,确保爱心精准落地。各方齐心协力,不仅让助学行动顺利开展、资金及时拨付,更重要的是,在孩子们心中种下希望的种子,让他们在困境中看到曙光,心怀感恩、立志努力学习、回报社会,成为兰河村未来发展的希望所在,大家一起努力,让兰河村变得越来越好。
在兰河村这片充满希望的土地上,洞口经开区工作队坚守初心、担当作为,用真挚的情怀照亮乡村振兴之路,他们的故事仍在续写,正一点点汇聚力量,每一个温暖的瞬间,都将汇聚成推动兰河村迈向更加灿烂明天的坚定力量。
兰河村完全小学段子杨同学的手绘画和感谢信



- 1
- 2
秉实业基因,绘生态蓝图:王步斌的跨界创业之路187991
- 3
秉实业基因,绘生态蓝图:王步斌的跨界创业之路187969
- 4
冯书:服务新时代,演讲让中国故事更加精彩159908
- 5
昆明轿子山第七届冰雪嘉年华开幕159875
- 6
中柬泰外长在云南举行三方会晤119957

微博
百家号